一、 引言:什么是SLAM,以及我们为何对它充满期待
SLAM,即“即时定位与地图构建”,是一项让移动设备在未知环境中,实时构建周围地图并同步推算自身位置的前沿技术。想象一个在黑暗房间中行走的人,仅凭触摸墙壁的感觉来绘制房间布局并感知自己的位置——这正是SLAM核心思想的生动体现。
在测绘领域,SLAM移动测绘系统通常以手持或背包形态,集成了激光雷达、惯性测量单元和高性能计算核心。它无需依赖外部定位信号(如GNSS),仅凭自身传感器对环境的连续扫描和智能算法,就能实时生成高密度三维点云。这项技术因其无与伦比的灵活性,在室内测绘、复杂工业设施数字化等领域展现了革命性的能力。
正是这种能力,让我们——作为深耕公路勘察测量的专业团队,曾对SLAM寄予厚望,甚至构想用它来破解两大行业痛点:
1.突破空域限制:在越来越多的机场周边、军事管理区等禁飞区的公路改扩建项目中,高效率的机载激光雷达方案无法实施。
2.降低安全风险与成本:高精度的车载激光雷达需要上路作业,面临复杂的交通协调、安全封控和高昂的综合成本。
SLAM设备理论上单兵即可操作,无需申请空域,也无需大规模封闭交通。我们一度认为,它可能是一种更灵活、更经济的替代方案,并积极筹划在项目中推广使用。然而,一次严谨的实证,让我们对这项技术的认知回归到工程的理性根基。
二、 残酷的实证:G30项目中的精度分野
在G30连霍高速陕西境内某段改扩建项目中,我们设定了统一的、严苛的精度标尺:依据《公路勘测规范》,路面高程绝对精度必须稳定达到≤0.020米。所有验证均以四等水准测量成果为唯一“真值”。
1. SLAM的挫折:期待与现实的落差
我们采用业内顶尖的、集成RTK功能的SLAM设备,进行了精心布设与扫描。然而,成果数据暴露了其不适用于该场景的致命问题:
数据“分层”与“错台”:不同时段或路径扫描的数据块之间,出现5-30厘米的系统性偏差,拼接后路面模型出现“台阶”。
不可预测的“误差跃变”:在连续扫描中,会突然产生一段整体性的数十厘米漂移,数据出现“断层”。
精度统计不合格:全线检查点高程中误差无法稳定优于0.020米,离散度大,无法满足设计门槛。
2. 机载激光雷达的成功:传统工艺的确定性胜利
与此同时,我们同步执行了 “大疆M300 RTK + 华测AA9激光雷达” 的机载方案。通过一套被长期验证的系统性工艺,我们获得了截然不同的结果:
a. 建立无争议的基准
在测区外围稳定地面布设靶标点,所有点位高程通过四等水准测量传递。其环线闭合差 W 满足:
这确保了基准本身的高于毫米级的可靠性。
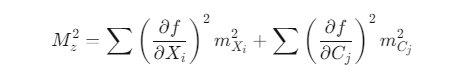
b. 执行模型化的全局纠正
将高精度靶标点坐标导入专业软件,驱动条带区域网平差。这个过程在数学上通过最小二乘优化,将控制点的高精度系统性传递至整个点云。纠正后点云的中误差 Mz 遵循误差传播定律:
由于靶标点精度极高(mCj 极小),平差有效抑制了原始观测误差(mXi),实现了精度的跃升。
c. 独立验证的成果
经70个未参与平差的独立水准点验证,最终点云高程中误差为:
该成果稳定优于规范要求。
三、 深度剖析:技术范式的根本差异
为何结果天差地别?其根源在于两者遵循着完全不同的技术范式与精度控制逻辑。
技术路径与精度控制逻辑对比
为了更清晰地展示两者差异,以下流程图揭示了从数据采集到最终成果,SLAM与机载激光雷达完全不同的处理哲学与精度控制逻辑:

核心差异对照表
四、 结论:理性的回归与技术的定位
G30项目的实证给我们上了深刻一课:技术的先进性与高昂成本,不等于其在所有工程场景下的普适性。
1.SLAM的定位:它无疑是复杂空间、无GNSS环境下精细化建模的“超级工具”。我们对其在隧道、地下管廊、复杂结构工业厂房、历史建筑数字化等领域的能力依然充满信心并持续应用。它是一把无可替代的 “特种手术刀”。
2.机载/车载激光雷达的定位:在长距离、高等级、追求绝对精度与全局一致性的公路工程测量中,其“直接地理定位+模型化全局纠正”的范式,提供了目前唯一经过严密理论验证和无数工程实践检验的确定性解决方案。它是这个领域的 “标准工业标尺”。
因此,我们的期待从“替代”转向了 “融合” 。未来的方向不是让手术刀去干标尺的活,而是构建更智能的“空天地”一体化工作流:用机载雷达高效完成大范围高精度框架测量,而让SLAM精准地切入那些它真正擅长的、结构异常复杂的局部角落。
让技术的归技术,让工程的归工程。唯有如此,我们交付的每一项成果,才能经得起规范的检验、设计的推敲和时间的考验。