编者按:巴布亚新几内亚作为南太平洋地区最大的发展中国家,是我国“一带一路”倡议在南太平洋地区的重要合作伙伴。近年来,随着大批中资企业承建该国公路、矿山、港口项目,对其国家测量基准的深入理解已成为海外测绘工程师的必修课。本文基于《“一带一路”国际工程测量指南》(张冠军编著 人民交通出版社股份有限公司 202年11月 第1版)及西安新华测绘有限公司海外矿区实测数据,首次系统梳理巴布亚新几内亚国家测量基准体系,以飨读者。
一、 巴布亚新几内亚国家测量基准概述
巴布亚新几内亚(以下简称“巴新”)位于南太平洋西部,包括新几内亚岛东半部及新不列颠、新爱尔兰、布干维尔等600余个岛屿,地形破碎、火山纵横、热带雨林密布。这种独特的自然地理条件对其国家测绘基准的建立和维护提出了极高要求。
根据《“一带一路”国际工程测量指南》及巴新国家测绘局(PNG NMSA)公开技术文件,当前巴新测量基准体系可归纳为:

核心结论:PNG94是目前巴新法定的国家大地基准,AGD66已逐步淘汰但仍大量存在于早期测绘资料中;高程基准呈“1个国家框架+13个区域MSL”并行的多元格局。
二、 平面基准核心参数:PNG94坐标系全解析
2.1 投影参数定义
PNG94坐标系采用GRS80椭球,UTM投影,其标准参数如下:

坐标定义公式(横轴墨卡托投影正算):
式中:
M——子午线弧长
N——卯酉圈曲率半径
e′——椭球第二偏心率
Δλ——经度与中央子午线之差
k0 ——中央子午线比例因子(0.9996)
2.2 PNG94与AGD66的坐标转换
由于AGD66采用澳大利亚国家椭球(a=6,378,160 m,f=1/298.25),与GRS80椭球存在系统性差异,PNG94与AGD66之间的转换是海外工程最常见的痛点。
经典七参数布尔沙模型:
巴新地区常用经验参数(仅供技术参考,实际工程须联测控制点求取):

三、高程基准:国家框架与区域MSL的并行格局
巴新陆地面积的60%以上为山地,火山、珊瑚礁岛屿遍布,难以建立统一的大地水准面模型。因此,巴新采取国家垂直基准与13个区域MSL并行的技术线。
3.1 国家高程框架:PNG Vertical Datum 1994
1)定义:以9个长期验潮站平均海平面为约束,通过水准联测构成覆盖主岛东部的高程控制网。
2)现况:覆盖范围有限,高精度仅集中于莫尔兹比港、莱城、马当等沿海城市及矿区。
3)精度:一等水准≤2 mm/km,二等水准≤5 mm/km。
3.2 区域MSL垂直基准
巴新外岛(新不列颠岛、布干维尔岛等)及主岛内陆未联测区域,仍沿用殖民地时期建立的13个独立平均海平面基准,彼此之间可能存在数分米至米级差异。
工程警示:巴新高程基准绝非单一系统!在跨岛工程、沿海与内陆联测项目中,必须查明测绘资料所采用的具体MSL基准,否则将产生分米级以上高程误差。
四、巴新基准点测量网及高程控制体系流程图(Mermaid可渲染版)
根据《“一带一路”国际工程测量指南》图4-1及巴新国家测绘局公开资料,绘制巴布亚新几内亚基准点测量网及高程控制体系技术流程图。
五、工程案例:新华测绘如何破解PNG94投影变形难题
2024年,西安新华测绘有限公司承建巴新某金矿道路工程。业主提供AGD66与PNG94两套原始资料,经现场实测发现:PNG94坐标系UTM投影变形高达0.1287 m/km,超规范4倍。
5.1 投影变形理论公式
投影变形由两部分构成:
式中:
Ym——测区横坐标平均值(距中央子午线距离)
H——测区平均高程
R——椭球平均曲率半径(取6,371 km)
变形分解:

5.2 工程独立坐标系优化
新华测绘技术团队采取椭球膨胀法+投影面优化双重策略:
1)保留GRS80椭球,与国际PNG94无缝衔接;
2)中央子午线不变(147°),保持与矿区原有资料兼容;
3)尺度比设为1,彻底消除UTM固有投影变形;
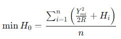
4)最优投影面高程通过最小二乘迭代求解:
优化结果:全线5.5 km范围,投影变形全部控制在0.0245 m/km以内,最大改善幅度达118.5%,获巴新业主一次性审批通过。
六、给海外测绘工程师的4条实操建议
1)平面基准必问年代:2000年以前资料默认为AGD66,2000年后工程应以PNG94为基准交付,严禁两套坐标系混用而不转换。
2)高程基准必问区域:莫尔兹比港、莱城等沿海城市可使用PNGVD94,内陆矿区及外岛必须向业主索要当地MSL与PNGVD94的联测转换值。
3)投影变形必做验算:巴新地形破碎、高差巨大,即使PNG94官方UTM投影也常超标。单点高程>500 m或距中央子午线>80 km必须构建工程独立坐标系。
4)转换参数必求现场解算:切勿直接套用文档经验参数,每个项目必须通过≥3个高等级控制点现场联测解算七参数。
结语:用中国精度,标注南太平洋
巴布亚新几内亚测量基准体系的复杂性,折射出南太平洋岛国测绘事业的历史传承与现实挑战。从AGD66到PNG94,从区域MSL到国家垂直基准,每一组参数、每一条投影公式,都凝结着测绘先贤在热带雨林与万顷碧波间跋涉的汗水。
作为中国测绘企业,我们有幸参与这一历史进程——用国产北斗设备联测PNG94控制网,用自研坐标优化算法破解投影变形难题,用中国工程师的严谨赢得南太平洋业主的“Concur”印章。
技术无国界,精度即尊严。愿本文能成为海外测绘同仁案头的一盏微灯,照亮南太平洋的每一组经纬度。
参考文献
[1] “一带一路”国际工程测量指南. 人民交通出版社股份有限公司. 2022.
[2] 国际测量工作者联合会(FIG). 国际工程测量指南(大洋洲卷). 2019.
[3] Papua New Guinea National Mapping Bureau. Technical Manual: PNG94 Geodetic Datum. 1994.
[4] 西安新华测绘有限公司. 海外矿区道路工程坐标系重构技术报告. 2024.