引言:被忽视的维度与效率革命
在公路工程控制测量领域,GNSS静态测量因其高效的平面定位能力已成为主流。然而,一个根本性的工程需求常被技术对比所忽略:最终交付物必须是包含平面坐标与正常高(水准高)的完整三维成果。
传统的GNSS路径需要“两步走”:静态测量获取平面与大地高,再组织水准测量获取正常高。而全站仪三维导线则提供了“一步到位”的可能性:在测角测距的同时,通过光电测距三角高程测量,直接同步输出工程所需的三维坐标。
本文基于内蒙古草原公路项目的实测,引入 “三维生产力” 核心指标,系统对比两种技术路径为交付一套完整、同精度的三维控制点成果所需的数学模型、作业流程、综合成本与时间。
一、方法论与数学模型对比
从数学模型上,两种方法的本质差异决定了其工作流程与产出效率。
1.1 GNSS+水准路径:分离观测与数据融合模型
此路径包含两个独立的观测体系,需在数据层面进行融合。
1. GNSS静态测量数学模型
GNSS通过载波相位观测值解算基线向量,在网平差后获得点在空间直角坐标系(或大地坐标系) 下的坐标。
核心观测方程(简化):
其中,Φ为载波相位观测值,ρ为卫地几何距离,c为光速,δt为钟差,T、I为对流层、电离层延迟,N为整周模糊度。
最终输出:控制点的平面坐标(X,Y)CGCS2000 和大地高 h。
2. 四等水准测量数学模型
水准测量通过水平视线测定相邻点间的高差。
核心观测方程:
其中,ai为后视读数,bj为前视读数。通过建立附合或闭合路线,进行平差。
最终输出:控制点的正常高 H。
3. 数据融合与高程异常
获得同一批点的 h 与 H 后,可计算其高程异常 ζ=h−H。在测区内,可通过多项式或曲面拟合建立局部高程异常模型,用于内插未联测水准点的正常高。此步骤增加了数据处理的复杂度与不确定性。
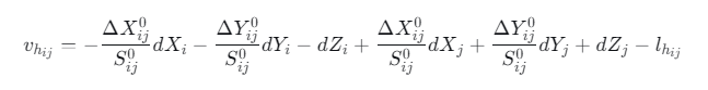
1.2 全站仪三维导线路径:一体化观测与统一平差模型
三维导线将水平角、竖直角、斜距观测值纳入一个统一的模型中进行整体平差,直接解算点的三维工程坐标 (X,Y,H)。
核心观测值与误差方程:
方向观测方程:
(lLij为方向观测值残差,系数与方位角有关)
距离观测方程:
三角高差观测方程(双向观测):
包含球气差改正(K为大气折光系数,R为地球半径)、仪器高 i 和棱镜高 v。
统一平差:将以上三类观测值的误差方程联立,构成整体的观测方程V=AX−L,在已知点坐标约束下进行最小二乘平差,一次性解算出所有待定点的三维坐标改正数 (dX,dY,dZ),进而得到最终坐标 (X,Y,H)。该模型直接输出统一、自治的三维成果,无需事后融合。
二、作业流程与组织对比
两种路径的数学模型差异,直接体现在外业和内业工作流程的巨大区别上。
2.1 GNSS+水准路径:双线并行的“接力赛”
该路径需要组织两次独立的外业,流程复杂,对项目管理和时间衔接要求高。

2.2 全站仪三维导线路径:一气呵成的“流水线”
该路径由单一班组在一次作业中完成所有三维数据的采集,流程紧凑、集成度高。

三、实测精度与“三维生产力”成本分析
在内蒙古某10公里通视良好的旧路改造路段,我们对两种路径进行了同等精度的背靠背测试。
3.1 精度达成情况

3.2 “三维生产力”综合成本对比
以交付10公里四等三维控制网成果为最终目标,计算其完全成本。

四、工程决策矩阵
技术选型应回归具体场景。基于“三维生产力”分析,决策逻辑更新如下:

五、结论
本次基于完整三维工程任务的深度对比表明,在通视条件良好的带状工程(如草原、平原地区的公路改扩建)中,对于10公里左右尺度的四等控制网建立,技术娴熟的全站仪三维导线班组展现出卓越的“三维生产力”。
其优势并非源于单项观测更快,而是源于严密的统一平差模型将多种观测值融合为一次高效的数据采集,从而实现了 “工序集成化” 和 “成果自治化” 。这带来了工期缩短约50%、成本降低约40% 的显著效益。
GNSS技术带来了测绘领域的空间革命,但全站仪三维导线技术,凭借其在适宜场景下无可比拟的综合效率与可靠的数据一致性,依然是现代工程测量体系中一个高效、稳健且不可或缺的解决方案。技术的价值,终须在解决具体工程问题的效率和可靠性中予以衡量。