摘要
随着实景三维中国与城市精细化治理需求的日益增长,无人机贴近景测量技术已成为建筑物立面测绘、文化遗产数字化建档、智慧城市三维建模等领域的关键手段。本文旨在深度剖析该项技术的理论核心、作业全流程与多元应用场景。西安新华测绘有限公司依托由大疆M300/M350、M4E、精灵四PRO/RTK、纵横CW15E/等机型组成的先进无人机编队,以及在高等级公路勘测领域积累的深厚控制测量、数据处理与项目管控经验,正式宣告具备承接并卓越完成各类贴近景测量任务的全面实力。我们将通过严谨的数学模型、详尽的作业流程图解、多维度精度分析及虚拟案例推演,系统展示公司的技术储备、实施能力与质量保障体系。
一、技术演进与核心价值:从“鸟瞰”到“端详”的跨越
传统航空摄影测量擅长获取地物顶部信息(顶视维度),但对于建筑物立面、桥梁墩柱、陡峭边坡等垂直或近垂直面,存在分辨率不足、纹理缺失、几何畸变大等固有局限。无人机贴近景测量技术,正是为了解决这一瓶颈而发展起来。
1.1 技术定义与独特优势
贴近景测量,特指无人机在距目标物体5米至50米的近距离范围内,通过自主或手动飞行,以极高的影像重叠度(通常>80%)从多视角采集高清数字影像,并运用计算机视觉与摄影测量原理,重建目标物高精度、高真实感三维模型的技术。
其核心优势体现在:
精度跃升:可实现平面精度优于±1厘米,高程精度优于±2厘米的测绘级成果,对于建筑装饰线脚、裂缝等细节表现力远超传统手段。
安全性革命:彻底替代人工攀爬、脚手架搭建等高风险作业,尤其在历史建筑、高耸构筑物测量中优势明显。
信息全息化:一次性获取几何、纹理、乃至多光谱信息,为后续的监测、分析、仿真提供完整数据基底。
效率与经济性:项目综合成本可降低约40%-60%,工期缩短50%以上,且数据易于更新与复用。
1.2 我司的技术自信源泉:从公路到立面的能力迁移
西安新华测绘有限公司在多年的公路勘测实践中,已锤炼出以下与贴近景测量高度共通的核心能力,这是我们信心所在:
高精度空间基准构建能力:公路勘测中积累的精密控制网布设经验,可无缝迁移至城市建筑测量,确保成果坐标系统一、精度可靠。
复杂场景数据获取经验:应对山区公路、复杂互通立交的航测经验,使我们擅长规划复杂空间下的安全、高效飞行路径。
海量数据处理与质检体系:熟练运用ContextCapture、Pix4Dmapper、重建大师等专业软件,具备处理万级以上影像生成实景模型的能力,并严格遵循省级测绘质检标准。
成熟的工程化管理:拥有从项目踏勘、方案设计、外业实施、内业处理到成果归档的全流程标准化管理体系。
二、硬核装备矩阵:为多样化任务量身定制
工欲善其事,必先利其器。我司针对贴近景测量的不同应用场景、精度要求和环境条件,配备了专业化的无人机装备梯队,确保任务的最优适配。

我们的设备策略是:以M300 /350RTK+ P1作为获取最高精度成果的“尖刀”,以精灵4 RTK作为灵活高效的“主力军”,以M4E拓展“增值分析”维度,以CW-15/20覆盖“大规模普查”场景,形成全方位、立体化的数据获取能力。
三、理论基石:精度是如何炼成的?
贴近景测量的高精度并非凭空而来,其背后有坚实的摄影测量理论支撑。
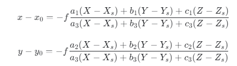
3.1 共线方程:从二维影像到三维空间的钥匙
每一张影像上像点坐标 (x, y)(x,y) 与其对应的物方空间坐标 (X, Y, Z)(X,Y,Z) 之间的数学关系,由共线方程严格定义:
参数释义:
(x0,y0):像主点坐标,ff:相机焦距 —— 这三者构成 相机内方位元素,通过严格的实验室检校获得。
(Xs,Ys,Zs):摄影瞬间相机镜头中心的空间坐标,即 摄站坐标。这正是我们使用RTK/PPK无人机或通过地面控制点力求精确获取的核心参数。
ai, bi, ci (i=1,2,3)ai,bi,ci(i=1,2,3):由相机姿态角(航向角、俯仰角、翻滚角)构成的 旋转矩阵 元素,描述了影像在空间中的方位。
解算过程即是通过大量同名像点,反求物方点坐标和影像外方位元素的过程,称为 空中三角测量。
3.2 精度控制“三板斧”
几何强化设计:通过精心规划的环绕飞行、多高度层数据采集,使物方点被来自不同方位、不同高度的多条“光线”(摄影光线)交汇,极大优化几何结构,显著提升Z方向(深度)精度。
采用“立面网格飞行”保证覆盖度,“环绕补充飞行”增强几何强度,地面控制点(GCP)用于绝对定位和精度检核。)
高精度定位与控制:
无人机端:启用RTK/PPK技术,直接获取厘米级摄站坐标,大幅减少对地面控制点数量的依赖。
地面端:在立面测量中,我们创新性地在建筑物立面特征点(如墙角、窗角)以及周边稳定地面布设人工标志点,并使用全站仪或RTK测量其精确坐标。这些点将作为“锚点”,将高精度的相对模型牢固地“锁”在绝对坐标系中。
数据质量前置控制:
重叠度:航向重叠≥85%,旁向重叠≥70%,确保特征点匹配的鲁棒性。
影像质量:选择光照均匀(如多云天)的时段作业,避免过曝与阴影;保证影像清晰、无抖动模糊。
四、全流程作业详解:我们的标准化实施路径
一个成功的贴近景测量项目,遵循严谨、科学的流程。下图详细展示了我司从承接项目到交付成果的完整闭环:
五、应用场景全景展望:我们的技术能为哪些领域创造价值?
凭借上述技术能力与严谨流程,我们致力于在以下场景中为客户提供卓越服务:
5.1 历史建筑与文化遗产数字化建档
虚拟案例:针对西安明城墙某敌台,使用M300 RTK + P1进行贴近景测量。
交付成果:毫米级分辨率的三维模型,可量测砖石风化深度、裂缝宽度;生成等比例CAD图纸,用于修缮设计;制作720°全景展示与虚拟导览系统。
我司优势:对古建筑结构的深刻理解,能设计出既保证数据质量又不损害文物的安全飞行方案。
5.2 城市规划与建筑监理
虚拟案例:对新建商业综合体进行竣工规划核实测量。
交付成果:将竣工三维模型与报批的BIM模型进行自动比对,快速生成差异报告(如外立面挑出物超限、广告位未按图施工)。
我司优势:从公路勘测继承的严格合规性审查经验,确保测量成果可作为具有法律效力的依据。
5.3 市政设施与交通基础设施监测
虚拟案例:对高架桥墩柱、大型互通立交的复杂立面进行定期变形监测。
交付成果:周期性三维模型,通过CloudCompare等软件进行多期模型对比,精准计算沉降、倾斜、裂缝发展速率。
我司优势:长期从事公路勘测,对桥梁、边坡等结构物的监测要点和风险点有专业认知。
5.4 智慧城市与数字孪生底座建设
虚拟案例:为智慧园区提供单体化、带精细纹理的建筑物模型。
交付成果:可与物联网(IoT)数据、BIM信息、业务系统集成的“活”的三维模型,用于能耗管理、安防仿真、空间规划。
我司优势:提供从数据生产到初步应用集成的一体化解决方案能力。
六、承诺与展望:为什么选择西安新华测绘?
我们深知,踏入一个新领域,仅有信心是不够的,更需要让客户看到可落地的实力与承诺。
6.1 我们的郑重承诺
技术先行:在正式开展商业项目前,我司技术团队已在内部完成多次模拟飞行与数据处理全流程演练,攻克了贴近景测量的核心技术环节。
专家领衔:本项目由公司高级工程师、省级专家团队主导,确保技术路线的正确性与成果质量的权威性。
质量铁律:沿用公路勘测项目的三级质检制度(作业组自查、项目部复查、公司质检部终检),所有成果均符合《工程测量标准》(GB 50026-2020)及更高要求。
6.2 未来展望
无人机贴近景测量不仅是技术的延伸,更是服务维度与价值的拓展。西安新华测绘有限公司将以此为契机,将我们在宏观地理信息获取(公路、地形)方面的优势,与微观实体精细化建模(建筑、设施)能力深度融合,致力于成为“空天地一体化”精准空间数据服务提供商。
我们诚挚邀请各界朋友、潜在客户与合作伙伴莅临指导,交流探讨。让我们携手,用精准的测绘科技,共同描绘数字城市更加清晰、生动的未来画卷。